请问 UOB 的One Account 的信用卡消费额500块是怎样算的?
yanzinanfei • • 32779 次浏览请问 现在UOB 的One Account 的信用卡消费额500是怎样算的?
是所有的消费都算?还是特定的消费才算?现在用 One Card 付 Town Council或政府部门的账单是不是不算了?谢谢!
想薅羊毛不容易啊!
---
-
#1
自己看t&c那些算不算不过好像uob one account那500是看自然月 calendar month
uob one card 是看 statement month
你得注意一下 -
#2
可以把statement month改成自然月这样方便计算
什么都算 只要过500 三个月都过500才有50 -
#3
打个电话吧客服90%的服务相当好
-
yanzinanfei 楼主#4
二月份花费时600多了,但他们说有一笔不算,二月份花费是600多了,但他们说有一笔付给NEA的帐单(290)不算,然后还说只要付给政府部门(GOV)的费用都不算。
我也不知道一直不算的还是现在才不算的。 -
#5
几号给利息?到今天还没看到钱进来,是不是上个月又没拿到?
-
#6
每过三个月的第一天吧比如2-4月的话,就是6月1号进来rebate,感觉是这样的。
-
#7
看他们的T&Cezlink, gov那些都不算的。
-
yanzinanfei 楼主#8
我是没拿到,所以打电话问说是付政府部门的账单不算,原来好像都算吧?
-
yanzinanfei 楼主#9
不是信用卡的rebate. 是One Account 的利息。
-
#10
但是不是连一分都没有吧?giro付了3个应该也有25块吧?我用它官网的calculator算的。
难道我也要打个电话? -
#11
从去年12月开账户至今经常碰到这样那样的问题
打个电话问清楚就好了
他们都给机会补救的 -
yanzinanfei 楼主#12
我的一分也没有。
-
#13
那也太坑爹了相比之下还是ocbc给钱给的爽快。。。
-
#14
我都是攒一堆出statement 几天内就把他刷到满了 - - #
-
#15
分期付款记得是不算的
-
#16
我第一次知道那么多东西不算呀 太坑爹了这样的话
uob真是精明 t&c太小了 肉眼还真不好看 -
#17
又去看了一遍25块是一年的利息,也就是说每个月只有2块而已
-
#18
为什么会这样...
我看uob one credit card 的cash rebate上写exclude spending paid to gov. 但是uob one account的bonus interest t&c里并没有说咧,只说不算TOP up to prepaid account呢。
hardware zone上还有人在argue town council算不算govt。也不知道uob怎么解释。
-
#19
town council fee不知道,不过那种分期installment是铁定不算在500以内的。亲测
-
#20
亲测不算只有硬性消费才算 买菜买衣服下馆子之类的
付账单,giro,分期付款统统不算 -
#21
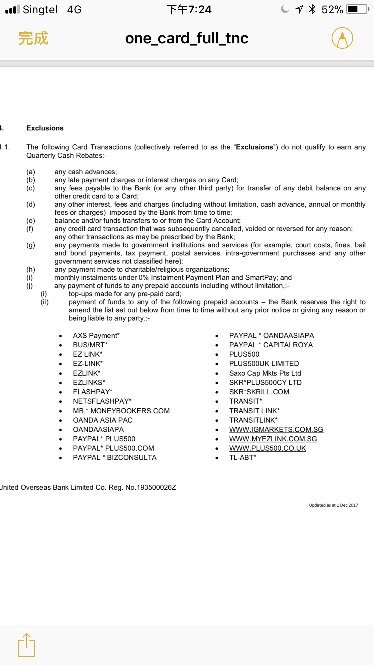
政府部门不算,详情看下图

-
#22
以前分期付款算,结果挂了一堆后就突然不算了
-
yanzinanfei 楼主#23
那就是了,我是有一笔钱用来在 NEA renew Lincese 的。但不知道Town council但不知道Town council 算不算政府部门?原来我也是用这张卡付费的,看来要再打个电话了。
-
#24
保险的分期付款算吗?.......
-
#25
我的宝诚保险算是那种储蓄保险
别的保险不知道