搭讪要像光一样,嗖! z
功夫熊猫 • • 62464 次浏览各位有在路上搭讪的经验吗?
据说现在鲜有人这么做了,很大一部分是大家都在低头玩手机(还有个摇一摇就能搭讪的软件,这种轻松方便到令人忌妒的功能,真是污辱了搭讪者先驱们的勇气与决心),没什么人抬头四处张望。
安排命中注定的情侣擦身而过,结果一个在上脸书,一个在玩小游戏,连月下老人都不知道该怎么办。
真遗憾。
错过的搭讪
记忆中的搭讪,通常发生在等朋友、等公车、等红绿灯,站在某个地方等待的时候。想像你站在广场一隅,攘往熙来的行人,形成两道南北反向的河流,缓缓流经广场。
瞬间,站在东南角的你胸口一紧,你瞧见广场西北角伫立着一位女孩,她以侧面45度对着你,头向下俯角20度,差不多是找地上有没有铜板的角度,脸上挂着30度的笑容,露出一个深度0.3公分的酒窝,大约能装下2毫升的依云矿泉水。
你摸一下后脑,确认是否有破洞,不然,为什么理想的她竟然从脑海中走出来了。
你擦一下眼镜,确认她没有消失,不是你单身过久,强烈的思念将她的影像从眼睛里投射到自己的镜片灰尘上,比Google glass还先进。
没错,她是真人,而且她刚还抠了一下鼻子,擦在电线杆上,她这个动作,美到简直可以做成月历销量破百万。
你注意到她抬头看了一下对面的红绿灯,一飞秒(femtosecond: 10的负15次方秒,飞秒雷射的飞秒就是这个意思)内,你下了决定,你知道如果你没行动的话,这辈子都将浸泡在绝望中。
走过去吧,就算最后一刻怂掉,你也可以像个变态一样去摸电线杆!
你迈出步伐,越走越快,最后跑了起来,你想像自己像一道光,沿着广场对角线,笔直地冲向她。
她过马路,红灯亮起,她消失在车流之后。
你虽然想冲过去,但又怕在这条八线道上,一不小心连三途河(生与死的分界)都冲过去就不妙了。
下个绿灯亮起,你赶过去,她已不知去向。
事后,你躲在自己的小房间里,旁边摆着一张擦过电线杆的卫生纸。
你怨恨自己为什么不早几秒看见她,为什么不敢冲过马路。
你祭出最狠的自我惩罚,拿出高中物理课本,全部习题重做一次,又无聊又嗜睡又不大懂,没有比这更残酷的惩罚了。
忽然,你瞥见课本上的一张图,一股懊恼从啤酒肚涌上。
你发现你错了,你没有像光一样地冲向她。
光都会拐弯
下图是以数学角度描述的广场示意图。
首先,我们得知道,通过两条人河的最快速度是不同的。好比逛夜市,忽然想吃另一侧的摊位,要是那摊位在前面,你加快脚步就能快速抵达。但要是那摊位在后头,你只能边忍受其他人的白眼,边缓慢地移动到那儿。
回到广场上,当你往北跑,穿越往北人潮与穿越往南人潮的最快速度是不同的。你应该尽量在移动速度快的往北人潮中待久一点,以缩短移动时间。但偏偏最短距离又是对角线,路线偏离对角线越远,得走越多路,移动时间因此增加。
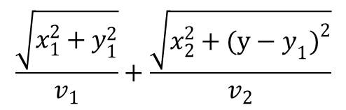
假设你在往北与往南的人潮中移动的最快速度各自是v1与v2,往北与往南的人群宽度告自是x1与x2,在往北人群里往北移动的距离为y1,广场南北的长度是y。利用三角形斜边长为两边平方和开根号,移动时间为移动距离除以移动速度,我们可以算出移动所需的时间为
想调整y1以最小化移动所需的时间,尽快跑到梦中情人的身边,我们得将上面的式子对y1微分
化简后得到v1/v2 = sinθ1/sinθ2。如前图所示,θ1与θ2是从第一道人群进入第二道人群时的入射角与折射角。这式子告诉我们,给定通过两条人河的最快速度v1与v2,你必须要调整到进入不同人群时,入射角跟折射角比例等于速度的比例。这正是高中物理的斯涅尔折射原理(Snell's Law):经过不同物质,会产生折射,这才是光传输的真正路径。一端在水中的筷子看起来像是断掉一样,正是斯涅尔定律造成的。
要是你真的如同光一样地追逐梦中情人的背影,有计算过最佳的折射角度,那你将会比原来更快抵达她的身旁。说不定,此刻你的卫生纸上已经写着她的电话了。
你感觉到月下老人拿着物理课本,对你叹了一口气。
这一切,都是因为你高中上课时在打瞌睡。
via http://www.guokr.com/article/437631/
-
#1
学霸呜呼哀哉,学霸的世界真是高深莫测!呜呼哀哉,学霸的世界真是高深莫测!
-
#2
牛还能更nerd吗还能更nerd吗
